Back to Aurora Vision Library website
You are here: Start » Function Reference » Region » Region Features » RegionElongation
RegionElongation
| Header: | AVL.h |
|---|---|
| Namespace: | avl |
| Module: | FoundationBasic |
Computes the elongation factor of a region ( perfect circle has minimal elongation equal 1.0 ).
Syntax
C++
C#
void avl::RegionElongation ( const avl::Region& inRegion, float& outElongation )
Parameters
Description
Elongation is a measure of how long the shape is in relation to its width. The perfect circle has the minimal elongation equal to 1.0, while the upper bound doesn't exist.
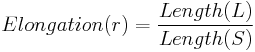
The operation internally approximates the region with an ellipse, and then computes the result as:
Where L denotes the longer axis of the approximating ellipse, and S denotes the shorter one.
Hints
- If the input region is not guaranteed to be non-empty, precede this filter with SkipEmptyRegion.
Examples
Elongation of the sample region equals to 1.702. |
Elongation of the sample region equals to 3.168. |
Errors
List of possible exceptions:
| Error type | Description |
|---|---|
| DomainError | Empty region on input in RegionElongation. |
See Also
- RegionCircularity – Computes the area of a region divided by the area of a circular region having the same feature.
- PolygonElongation – Computes the elongation factor of a polygon (perfect circle has minimal elongation equal 1.0).


