You are here: Start » Filter Reference » Region » Region Features » RegionPerimeterLength
| Module: | FoundationBasic |
|---|
Computes the length of the input region perimeter.
| Name | Type | Description | |
|---|---|---|---|
![]() |
inRegion | Region | Input region |
![]() |
outPerimeterLength | Real |
Description
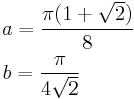
The operation computes the perimeter length of a region shape. Because regions are pixel-precise, the literal computation of the length of the region contour would lead to the overestimation of the diagonal edges. Therefore, the filter employs the following equation to approximate the result:

Where
- sides denotes the number of pixel sides adjacent to the region background
- vertices is the number of turns to right during clockwise walk along the pixel sides of the region boundary
- a, b are constants defined as follows:
To compute the actual contour of the region, one can use RegionContours filter.
Examples
![]() |
RegionPerimeterLength run on the sample region (circular region of radius 100) computes outPerimeterLength = 627.382, while the actual perimeter of the perfect circle of radius 100 is 628.318 .
Complexity Level
This filter is available on Basic Complexity Level.
See Also
- RegionContours – Computes an array of closed paths corresponding to the contours of the input region.
- RegionDiameter – Computes the longest segment connecting two pixels contained in region and its length.

Basic

