You are here: Start » AVL.NET » Function Reference » Region » Region Features » AVL.RegionElongation
Computes the elongation factor of a region ( perfect circle has minimal elongation equal 1.0 ).
| Namespace: | AvlNet |
|---|---|
| Assembly: | AVL.NET.dll |
Syntax
Parameters
| Name | Type | Range | Default | Description | |
|---|---|---|---|---|---|
![]() | inRegion | AvlNet.Region | Input region. | ||
![]() | outElongation | float |
Description
Elongation is a measure of how long the shape is in relation to its width. The perfect circle has the minimal elongation equal to 1.0, while the upper bound doesn't exist.
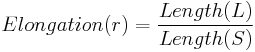
The operation internally approximates the region with an ellipse, and then computes the result as:
Where L denotes the longer axis of the approximating ellipse, and S denotes the shorter one.
Examples
Elongation of the sample region equals to 1.702. |
Elongation of the sample region equals to 3.168. |
Errors
List of possible exceptions:
| Error type | Description |
|---|---|
| DomainError | Empty region on input in RegionElongation. |


