You are here: Start » Function Reference » Region » Region Features » RegionPerimeterLength
RegionPerimeterLength
| Header: | AVL.h |
|---|---|
| Namespace: | avl |
| Module: | FoundationBasic |
Computes the length of the input region perimeter.
Syntax
void avl::RegionPerimeterLength ( const avl::Region& inRegion, float& outPerimeterLength )
Parameters
Description
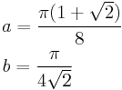
The operation computes the perimeter length of a region shape. Because regions are pixel-precise, the literal computation of the length of the region contour would lead to the overestimation of the diagonal edges. Therefore, the filter employs the following equation to approximate the result:

Where
- sides denotes the number of pixel sides adjacent to the region background
- vertices is the number of turns to right during clockwise walk along the pixel sides of the region boundary
- a, b are constants defined as follows:
To compute the actual contour of the region, one can use RegionContours filter.
Examples
![]() |
RegionPerimeterLength run on the sample region (circular region of radius 100) computes outPerimeterLength = 627.382, while the actual perimeter of the perfect circle of radius 100 is 628.318 .
See Also
- RegionContours – Computes an array of closed paths corresponding to the contours of the input region.
- RegionDiameter – Computes the longest segment connecting two pixels contained in region and its length.



