You are here: Start » AVL.NET » AVL.NegateImage Method
AVL.NegateImage Method
Reverts the pixel value range (unsigned) or applies numeric negation (signed).
| Namespace: | AvlNet |
|---|---|
| Assembly: | AVL.NET.dll |
Syntax
public static void NegateImage( AvlNet.Image inImage, AvlNet.Region inRoi, out AvlNet.Image outImage )
Parameters
| Name | Type | Range | Default | Description | |
|---|---|---|---|---|---|
![]() | inImage | AvlNet.Image | Input image. | ||
![]() | inRoi | AvlNet.Region | Range of pixels to be processed. Default value: atl::NIL, or null. | ||
![]() | outImage | AvlNet.Image | Output image. |
Description
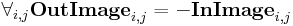
The operation negates the pixel values of the inImage. Depending on the pixel type, the negation is defines as follows:
- For the signed pixel types:

- For the unsigned pixel types:
(which can be thought of as mirroring the pixel values around the center of the pixel values range)
Examples
![]() |
![]() |
The NegateImage performed on the sample image.
Hardware Acceleration
This operation is optimized for SSE2 technology for pixels of types: UINT8, SINT8, SINT16, REAL.
This operation supports automatic parallelization for multicore and multiprocessor systems.
Hardware acceleration settings may be manipulated with Settings class.




