You are here: Start » AVL.NET » AVL.RegionPerimeterLength(AvlNet.Region, float)
AVL.RegionPerimeterLength(AvlNet.Region, float)
| Namespace: | AvlNet |
|---|---|
| Assembly: | AVL.NET.dll |
Syntax
public static void RegionPerimeterLength( AvlNet.Region inRegion, out float outPerimeterLength )
Parameters
- inRegion
- Type: AvlNet.Region
- outPerimeterLength
- Type: System.Single
Description
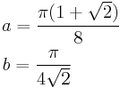
The operation computes the perimeter length of a region shape. Because regions are pixel-precise, the literal computation of the length of the region contour would lead to the overestimation of the diagonal edges. Therefore, the filter employs the following equation to approximate the result:

Where
- sides denotes the number of pixel sides adjacent to the region background
- vertices is the number of turns to right during clockwise walk along the pixel sides of the region boundary
- a, b are constants defined as follows:
To compute the actual contour of the region, one can use RegionContours filter.
Examples
![]() |
RegionPerimeterLength run on the sample region (circular region of radius 100) computes outPerimeterLength = 627.382, while the actual perimeter of the perfect circle of radius 100 is 628.318 .

